產品詳情
一、概述
CY-ANB阿牛巴流量計是基于畢托管測速原理發展起來的一種新穎的流量儀表。其突出的優點是結構相對簡單、重量輕、成本低廉、壓損小、安裝維護方便、儀表配套適應性強,適用于圓形、矩形、多面形管道的流量測量。在工藝管徑日益增大而又要求安裝方便的情況下,均速管流量計更是為大管徑流量測量提供了解決方案 。該流量計廣泛被應用于火電、核電、石油、輕紡、造紙、冶金、化工等行業中對液體、氣體及蒸汽等介質的流量測量和控制。
由于均速管流量計測量的是流體的點速度,因此,對直管段的要求比一般速度型流量計要長,只有保證足夠的直管段長度,才能使管內流體有穩定的流速分布。一般要求前直管段最短長度在 10D以上。由于流體若處在層流與紊流之間的過渡區時狀態不易移定,所以本流量計所選擇的雷諾數不宜在 2000~5000 之間。

均速管與孔板在被測管道中造成的壓力損失對比示意圖
二、測量原理

均速管流量計是基于皮托管測速原理發展起來的,它是通過管道的平均流速及管道的有效截面積的乘積來確定流量的。一般管道中的流速分布是不均勻的。如果是充分發展的流體,其速度分布為指數規律。為了準確計量,將整個圓截面分成四個單元面積相等的兩個半圓及兩個半環。均速管流量計的檢測桿是由一根中空的金屬管組成,布置在垂直于流向的工藝管道中,迎流面鉆兩對總壓孔,分別處于各單元面積的中央,它們分別反映了各單元面積的流速大小。由于各總壓孔是相通的,傳至檢測桿中的各點總壓值平均后,由總壓引出管經高壓接頭,送到變送器的正壓室。當均速管流量計正確安裝在有足夠長度直管段的工藝管道上時,流量截面上應沒有旋渦,整個截面的靜壓可認為是常數。在檢測桿的背面中間設有一個檢測孔,代表了整個截面的靜壓。經靜壓引出管由低壓接頭引至變送器的負壓室,正、負壓室測得的差壓的平方與流量截面的平均流速成正比,從而獲得差壓與流量成正比的關系。
因此,均速管流量計是由傳感器、(測桿)引壓附件、(正、負引壓毛細管、引壓管)控制閥、變送器、(差壓變送器、壓力變送器、溫度變送器)、流量積算儀等件配套組成的流量計。
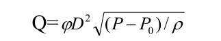
均速管流量計的流量計算公式如下:

(根據流量校驗數據得出)
上式中:Q——流體流量 m 3 /s
D——管道內徑 m
P——流體全壓 Pa
P0——流體靜壓 Pa
ρ——流體密度 kg/m 3
? ——流量較正系數
三、基本參數
3.1 測桿的截面形狀
測桿的截面形狀如下圖所示:

3.2 分類
3.2.1 按測桿外形分類:
a、(圓形)笛形均速管流量計
b、(菱形)菱形均速管流量計
c、橢圓形
d、雙管(前后)形 73 型均速管流量計
3.2.2 按結構形式分類
a、分離型
b、懸臂形(單端固定)
c、支撐形(雙端固定)
3.2.3 按工作條件分類
a、普通型
b、耐腐蝕型
c、高溫高壓型
3.2.4 按連接方式分類
a、插入型
b、整體型
3.3 公稱通徑 DN
通徑范圍:DN80~DN5000 (mm)
3.4 公稱壓力 PN
公稱壓力范圍:0.01~6.3 (Mpa)
3.5 均速管流量計的準確度

3.6 工作溫度
非耐高溫裝置被測介質工作溫度上限值為≤200℃
耐高溫裝置被測介質工作溫度上限值為≤450℃。
四、型號規格


五、上、下游側必要的直管段長度
由于均速管流量計是以速度面積法為基礎,采用近似積分理論,用較多的點來描述流速分布方程,并且是在充分發展的速度分布條件下建立的。所以,為了能得到一個理想的速度分布,必須在均速管流量計前后有一定的直管段長度。
單位:m



注:1、表中“D”為管道內徑;
2、在直管段不足的情況下,上游應占直管段全長的 70%,下游占 30%。
此時仍可給定穩定的示值,但準確度有所下降。
六、安裝與維護
6.1 安裝要求
為了保證均速管流量計測量精度,在現場安裝時應注意如下要點:
6.1.1 在垂直管道中安裝,允許在管道圓周 360 o范圍內任意安裝。

6.1.2 在水平管道中安裝,建議采用如下方式:
6.1.2.1 測量液體時取向下傾斜 45 o安裝。

6.1.2.2 測量氣體時取向上傾斜 45o安裝。

6.1.3 安裝時均速管流量計總壓孔必須正對流向,偏差不大于 7o。

6.1.4 均速管流量計安裝時應沿管道直徑方向插入到底,其安裝允許偏差如下圖:

6.2 維護
6.2.1 均速管流量計應在工藝管道大修理的同時進行清洗,例如,可在流量計的出、入口用高壓氣流(壓縮空氣)進行吹掃,去除檢測管內積存的污垢,也可將流量計拆下后浸泡在煤油中,泡軟后沖刷清洗,最終使各取壓孔保持通暢。
6.2.2 可能產生的故障原因及排除辦法見下表:

尊敬的客戶您好!
如果您想索取產品資料、獲取選型報價或是深入了解更多產品信息,歡迎添加官方微信 ,掃描下方二維碼即可。添加后將有專業工程師為您提供一對一的服務,隨時解答您的疑問。

- 上一篇:CY-MFC系列熱式氣體質量流量計
- 下一篇:




